Page with papers on gulls, most large white-headed gulls in PDF, so it may take some time to download.
HOME ORG (last update: September 12, 2015) |
Larus fuscus |
Is it possible to identify Baltic and Heuglin’s Gull?
Chris Gibbins
In: Birding Scotland 2004 |
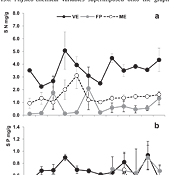
The primary moult of the Lesser Black-backed Gull (Larus fuscus).
Peter Stewart
Severn Estuary Gull Group 2006 |
Identification update: moult variability in 3rd calendar-year Lesser Black-backed Gulls. (draft)
T. Muusse, M. Muusse, B-J. Luijendijk & R. Altenburg
In: Birding World 2005
|
Camphuysen C.J. 2013.
A historical ecology of two closely related gullspecies (Laridae): multiple adaptations to a man‐made environment.
Ph.D.‐thesis,
Univ. Groningen, Groningen. |
Phenotypic characteristics and moult
commencement in breeding Dutch
Herring Gulls Larus argentatus & Lesser
Black-Backed Gulls L. fuscus.
Muusse et all. SEABIRD 24 (2011): 42–59
|
Moult plates coming with: The primary moult of the Lesser Black-backed Gull (Larus fuscus).
Peter Stewart
Severn Estuary Gull Group 2006 |
Migration patterns of adult and juvenile Lesser Black-backed Gulls Larus fuscus from northern Norway.
Morten Helberg et all. Ardea 97 (3) 2009. |
Hop or jump: Autumn migration strategies of Lesser Blackbacked Gulls Larus fuscus as revealed by satellite tracking.
Kube, J., A.J. Helbig, R. Juvaste, K. Pedersen, C. Rahbek & P. Saurola |
Moult and plumage variation in immature Lesser Black-backed Gulls in the Netherlands
by Rik Winters
IN: Dutch Birding 2006.
part 1, part 2, part 3, part 4, part 5, part 6. |
Moult sequence in second calendar year BalticGull at Amsterdam ín May 2006
Ruud G M Altenburg et all. |
Restricted moult in second calendar-year Baltic Gull
Ruud G M Altenburg et all
IN: Dutch Birding 2006 162-164. |
The influence of colour-rings on recovery rates of Herring and Lesser Black-backed Gulls.
C. B. Shedden, P. Monaghan, K. Ensor and N. B. Metcalfe
In Ringing and Migration 1985
Original link |
Caluta No 1 - March 2010. Articles:
1. Plumage development and ageing of Baltic Gull by A. Lindholm & A. Forsten
2. Timing of primary moult in large gull taxa at five locations in Europe by R. Ahmed et all. |
The Lesser Black-backed Gull, Larus fuscus, in Greenland
BY: D. BOERTMANN
IN: ARCTIC, VOL. 61, NO. 2 (JUNE 2008) P. 129 133 |
Field identification criteria for second calendar-year Baltic Gull
Ruud Altenburg, Ies Meulmeester, Mars Muusse, Theo Muusse & Pim Wolf
IN: Dutch Birding 33: 304-311, 2011
|
Migration pattern of Icelandic Lesser Black-backed Gulls L
fuscus graellsii: indications of a leap-frog system.
Gunnar Thor Hallgrimsson et all.
IN:
J Ornithol (2012) 153:603–609.
|
Nominate Lesser Black-backed Gulls (Larus fuscus fuscus) winter in the Congo basin.
Henrik Kylin, Michel Louette, Paul Herroelen & Henk Bouwman
IN: Ornis Fennica 87:106–113. 2010
|
Distributions of the subspecies of Lesser Black-backed Gulls Larus fuscus in sub-Saharan Africa.
HENRIK KYLIN, HENK BOUWMAN and MICHEL LOUETTE
IN: Bird Study (2011) 58, 186–192 |
Feeding behaviour and food resources of Lesser Black-backed Gulls and Herring Gulls at Texel (Dutch, + summary)
Kees (CJ) Camphuysen, Jacintha van Dijk, Hans Witte & Nora Spaans
NIOZ Rapport 2008-12 |
From fledging to breeding: long-term satellite tracking of the migratory behaviour of a Lesser Black-backed Gull L fuscus intermedius
K. PÜTZ, A.J. HELBIG, K.T. PEDERSEN, C. RAHBEK, P. SAUROLA and R. JUVASTE
IN: Migration (2008) 24, 710. |
Intra-specific interactions influence egg composition in the Lesser Black-backed Gull (Larus fuscus).
N. Verboven, N.P. Evans, L. D’Alba, R.G. Nager, J.D. Blount, P.F. Surai & P. Monaghan
In Behav Ecol SocioBiol 2005 |
SEAPOP short report 2009-9. Studies of lesser black-backed gulls in northern Norway. Jan Ove Bustnes. |
De voedselkeuze van Kleine Mantelmeeuwen en Zilvermeeuwen en andere indicaties die aanwijzingen geven over het ruimtegebruik van deze vogelsoorten in de Noordhollandse kustwateren. NIOZ report by Kees (CJ) Camphuysen, Jacintha van Dijk, Hans Witte & Nora Spaans. |
Background document for Lesser black backed gull Larus fuscus fuscus
- OSPAR Convention - |
Parental condition, brood sex ratio and differential young survival: an experimental study in gulls (Larus fuscus).
R.G. Nager, P. Lonaghan, D.C. Houston & M. Genovart
In Behav Ecol SocioBiol 2000 |
Status van Baltische Mantelmeeuw in Nederland
W (Ted) Hoogendoorn & Peter van Scheepen |
Age-related migration patterns in Larus fuscus spp.
Marques, Costa, Rock & Jorge.
acta ethologica 12:2, 87-92. |
The nominate Lesser Black-backed Gull Larus fuscus fuscus, a gull with a tern-like feeding biology, and its recent decrease in northern Norway.
Karl-Birger Strann & Wim Vader
Ardea 80 (1) - 1992. |
Effects of trawler discard availability on egg laying and breeding success in the lesser black-backed gull Larus fuscus in the western Mediterranean.
By: Daniel Oro
In: MARINE ECOLOGY PROGRESS SERIES Vol. 132: 43-46,1996 |
Factors effecting the breeding success of two ecologically similar gulls the Lesser black-backed gulls, Larus f. fuscus and Herring Gull, Larus argentatus, at Stora Karlsö.
- Examensarbete 2006:1 - Degree project thesis Stockholm University -
Emma Capandegui |
Breeding by a Lesser Black-backed Gull (Larus fuscus) on the Atlantic coast of North America.
Julie C Ellis, Mary Caswell Stoddard, L William Clark
North American Birds Vol 61 (2007) - 4 |
At-sea distribution and behaviour of a surfacefeeding seabird, the lesser black-backed gull Larus fuscus, and its association with different prey.
Philipp Schwemmer*, Stefan Garthe
Research and Technology Centre (Forschungs- und Technologiezentrum), University of Kiel, Hafentörn, 25761 Büsum, Germany. |
The changing status of the Lesser Black-backed Gull Larus fuscus in Ireland.
G.A. Creme, P.M. Walsh, M. O’Callaghan & T.C. Kelly
In Biol and Envir Proc of the Royal Irish Academy 1997
|
SIGHTINGS OF COLOUR-RINGED HERRING GULLS AND
LESSER BLACK-BACKED GULLS IN THE NETHERLANDS
C.J. Camphuysen
IN: Sula 21 -2008 |
The origin of Lesser Black-backed Gulls Larus fuscus
wintering in central Iberia
ISMAEL GALVÁN et all.
IN: Ringing & Migration (2003) 21, 209-214 |
Distributions of the subspecies of Lesser Black-backed Gulls Larus fuscus
in sub-Saharan Africa
Henrik Kylin; Henk Bouwman; Michel Louette.
IN: Bird Study (2011) 58, 186–192. |
Organochlorine concentrations in diseased vs. healthy gull chicks from the northern Baltic.
by: Martti Hario, Juha-Pekka Hirvi, Tuula Hollmen, Eeva Rudback
IN: Environmental Pollution 127 (2004) 411423. |
Effects of vegetation on nest microclimate and breeding performance
of lesser black-backed gulls (L fuscus).
Sin-Yeon Kim & Pat Monaghan
IN: J Ornithol (2005) 146. |
FIRST TWO RECORDS OF EUROPEAN-BANDED LARUS FUSCUS IN AMERICA.
GUNNAR THOR HALLGRIMSSON et all.
Marine Ornithology 39: 137–139 (2011) |
Rapid long-distance
migration in Norwegian
Lesser Black-backed Gulls
Larus fuscus fuscus along
their eastern flyway
JAN O. BUSTNES et all.
Ibis (2013), 155, 402–406 |
Distribution of the subspecies of the Lesser Black-backed Gull Larus
fuscus in sub-Saharan Africa
HENRIK KYLIN et all
Bird Study, 2011, 58(2):186-192 |
Wintering ofthe Lesser Black-backed Gull Larus fuscusin Poland in 1996–2009
G. Neubauer
Notatki Ornitologiczne 2009, 50: 194–205 |
Satellite tracking of the migratory pathways of first-year LBBG Larus fuscus departing from the breeding
grounds of different subspecies
Klemens Pütz et all
VOGELWELT 128: 141 –148 (2007) |
De voedselkeuze van Kleine
Mantelmeeuwen en Zilver-meeuwen
en andere indicaties die
aanwijzingen geven over het
ruimte-gebruik van deze vogel-soorten in de Noord-Hollandse
kustwateren
Kees (CJ) Camphuysen, Jacintha van Dijk, Hans Witte & Nora Spaans |
DIFFERENTIAL AGE-RELATED PHENOLOGY
IN LESSER BLACK-BACKED GULL LARUS FUSCUS
WINTERING IN THE MALAGA AREA
GARCÍA et all
Ardeola 57, 2010, 129-134.
|
Migration strategy of a flight generalist, the
Lesser Black-backed Gull Larus fuscus
Raymond Klaassen et all.
IN: Behavioral Ecology 2011. |
Eerste geval van overwinterende Baltische Mantelmeeuw in Nederland. [in Dutch, English summary]
Klaas van Dijk
Limosa 81: 151-153 (2008). |
|
|
|
|
|
Larus argentatus |
|
|
|
Intergradation between the Herring Gull (Larus argentatus) and the Southern Herring Gull (Larus cachinnans) in European Russia.
E.N. Panov & D.G. Monzikov
In Russ J Zool 1999 |
Identification of adult American
Herring Gull.
Peter Adriaens & Bruce Mactavish
Dutch Birding 2004 26: 151-179 |
Identification of American Herring Gull in a western European context.
Lonergan, P, and Mullarney, K.
Dutch Birding 2004 - 26: 1-35 |
Variably plumaged Icelandic Herring Gulls: high intraspecific variation in a founded population.
Richard R. Snell
In The Auk 1993 |
Raum - Zeit - Strategien der Silbermowe Larus argentatus und verwandter Taxa im westlichen Ostseeraum
Ronald Klein
Dissertation Universitat Rostock 2001 |
Scandinavian Herring Gulls wintering in Britain.
J. C. Coulson, P. Monaghan, J. E. L. Butterfield, N. Duncan, K. Ensor, C. Shedden & C. Thomas
Ornis Scand. 15: 79-88.
Original link
|
Colony- and age-specific seasonal
dispersal of Herring Gulls Larus
argentatus breeding in The Netherlands
C. J. Camphuysen, Harry J. P. Vercruijsse& Arie L. Spaans
IN: J Ornithol (2011) 152: 849-868 |
Identifying the sex of Massachusetts Herring Gulls by linear measurements.
Daniel R. Evans & Paul M. Cavanagh
In J Field Ornithol 1995 |
Notes on the standard body measurements of two populations of Herring Gulls (Larus argentatus) (in Canada).
WILLIAM THRELFALL AND DAVID D. JEWER
IN: The Auk, 1978 |
Unequal sex ratio’s and their consequences in Herring Gull (Larus argentatus).
Joanna Burger & Michael Gochfeld
In Behav Ecol SocioBiol 1981 |
Drop-catch behaviour is play in herring gulls, Larus argentatus
Jennifer R. Gamblef and Daniel A. Cristolf |
Comparative biology and behavior of monogamous pairs and one male-two female trios in Herring Gulls.
Mary A. Fitch & Gary W. Shugart
In Behav Ecol SocioBiol 1983 |
Is asynchronous hatching adaptive in herring gulls (Larus argentatus)?
Lars Hillstrom, Mikael Kilpi & Kai Lindstrom
In Behav Ecol SocioBiol 2000 |
Breeding of the Herring Gull in the mouth of river Piasina (Taimyr).
V.I. Grabovsky |
Gulls along the Belgian coast. With focus on Herring Gull and Lesser Black-backed Gull.
Thesis Ghent University by Davy Bosman. |
Reduced availability of refuse and breeding output in a herring gull (Larus argentatus) colony.
Mikael Kilpi & Markus Ost
In Ann Zool Fennici 1998 |
Larus fuscus and Larus argentatus:
Pellet and Bolus Analysis Guide
Vicky Hunt
August 13th, 2006
NIOZ guide |
A review of the status of the
Herring Gull Larus argentatus in Spain.
Álvarez-Laó, C.
SEABIRD 24 (2011): 72–82 |
Foraging ecology of Herring Gulls (Larus argentatus) and Great Black-backed Gulls (Larus marinus), with a focus in New England rocky intertidal.
Michelle S. Rome
Brown University - May 2002 |
Population dynamics, colony formation and competition in Larus argentatus, fuscus and marinus in the archipelago of Finland.
Göran Bergman
Ann. Zool. Fennici 19:143–164 (1982)
|
Lectotypification of L smithsonianus Coues, 1862 (Aves: Laridae)
Storrs L. Olson & Richard C. Banks.
IN: PROCEEDINGS BIO SOC WASHINGTON
120(4). 2007. |
TAIL-PATTERN VARIATION
IN FIRST-YEAR HERRING GULLS.
S. HOWELL & J. KING
IN:
Western Birds. |
ORBITAL RING COLOURS OF HERRING GULLS
IN BRITAIN
R.E. Elliott
Bird Study 1981. |
Adult Survival of Herring Gulls Breeding in the Canadian Arctic
KAREL
A. ALLARD et all.
Waterbirds 29(2): 163-168, 2006 |
Relationship between cod fishery activities and the population of
herring gulls on the N Shore of the Gulf of St Lawrence
G Chapdelaine & J-F Rail
ICES J of Marine Science, 54: 708–713. 1997
|
The Birds of North America, No. 124, 1994
Fact sheet
R. J. PIEROTTI AND T. P. GOOD |
|
|
|
|
|
|
Larus michahellis & cachinnans (see also: HERE) |
Gibbins C., B.J. Small & J. Sweeney 2010.
Identification of Caspian Gull. Part I: typical
birds.
British Birds 103: 142-183.
!! PART II can be ordered at BB !! |
Mittelmeermoewen (Larus michahellis) und Steppenmoewen (Larus cachinnans). In German.
Martin Gottschling
Der Falke 51 - 2004 |
Die Kennzeichen und das Vorkommen der Weißkopfmöwe Larus cachinnans in Europa (Link to the original webpage of Limicola)
by: Detlef Gruber
Limicola 1995, Heft 3 |
Die Bestimmung und taxonomische Stellung der in Mitteleuropa auftretenden Weißkopfmöwen Larus cachinnans(Link to the original webpage of Limicola)
Ronald Klein und Detlef Gruber: Limicola Jahrgang 1997, Heft 2 |
Identification of Azores Gull
Peter Adriaens, Peter Alfrey, Chris Gibbins & Daniel López-Velasco
Dutch Birding 42: 303-334, 2020 |
Klein, R., and A. Buchheim. 1997.
Die westliche Schwarzmeerküste als Kontaktgebiet zweier Grossmöwenformen der Larus cachinnans-Grupe. Vögelwelt 118:6170. |
Titel: Die Albatrospose der Steppenmöwe Larus cachinnans
Ronald Klein und Andreas Buchheim, mit Farbtafeln von Andreas Buchheim
Limicola 17, Jahr 2003, Seite(n) 21-26. |
The origin of 'Caspian Gulls' breeding in Poland.
Grzegorz Neubauer, Magdalena Zagalska-Neubauer &
Jacek Betleja
British Birds 100 • September 2007 • 552–557 |
Atlantic Islands Yellow-legged Gulls: an identification gallery.
Philippe Dubois
IN: BIRDING WORLD, Vol 14-7
|
Identification of
Caspian Gull
Part 1: typical birds
Chris Gibbins, Brian J. Small and John Sweeney.
IN: British Birds 103 • March 2010 • 142–183. |
YELLOW-LEGGED GULLS (LARUS CACHINNANS) IN NORTH AMERICA
CLAUDIA WILDS & DAVID CZAPLAK
IN: Wilson Bull., 106(2), 1994, pp. 344-356. |
Fact sheet Gaviota Patiamarilla ( Larus cachinnans) / Catalán Gavià argentat / Gallego Gaivota patiamarela / Vasco Kaio hankahoria. 1998-2002, Andrés Bermejo y Jorge Mouriño. |
Influxes of Caspian Gulls L cachinnans and Yellow-legged
Gulls L. michahellis into northern Central Europe – origin, causes, course and trend.
Klein & Neubauer.
IN:
Vogelwelt 127: 91–97, 2006.
|
Status of waterbirds in Asia - Results of the Asian Waterbird Census: 1987 – 2007 (incl gulls)
David Li Zuo Wei, Andrea Bloem, Simon Delany,
Georgios Martakis and Jose Ochoa Quintero
Publ: Wetlands International
2009 |
Migration of Pontic Gulls Larus cachinnans form 'ponticus' ringed in the south of Ukraine: a review of recoveries from 1929 to 2003.
Rudenko, A.G. 2006.
IN: Waterbirds around the world |
Sex differentiation of Yellow-legged Gull (Larus michahellis lusitanius): the use of biometrics, bill morphometrics, and wing tip coloration.
Arizaga, Aldalur, Herrero & Galicia.
Waterbirds 31(2): 211-219 (2008). |
Dispersal of yellow-legged gulls Larus michahellis ringed in Algeria: a preliminary analysis.
Baaloudj et all.
Ardeola 59 - June 2012. |
First-Year Movements of Yellow-Legged Gull (lusitanius) from the Southeastern Bay of Biscay.
Juan Arizaga et all.
IN: Waterbirds 33(4):444-450. 2010 |
Colonization and population growth of Yellow-legged Gull Larus cachinnans in southeastern Poland: causes and influence on native species
PIOTR SKÓRKA, JOANNA D. WÓJCIK & RAFAL MARTYKA
IN: Ibis (2005), 147, 471482 |
Sexual size dimorphism and determination of sex in Atlantic Yellow-legged Gulls Larus michahellis lusitanius from northern Spain.
Galarza, Hidalgo, Ocio & Rodriquez.
Ardeola 55: 41-47, 2008. |
MOVEMENTS OF YELLOW-LEGGED GULLS LARUS [CACHINNANS] MICHAHELLIS FROM TWO SMALL WESTERN MEDITERRANEAN COLONIES
A. MARTINEZ-ABRAIN, D. ORO, J. CARDA & X. DEL SEÑOR
Atlantic Seabirds 4-3 - 2003
|
Do invasive species undergo metapopulation dynamics? A case study of the invasive Caspian gull, Larus cachinnans, in Poland
M. Lenda et all.
IN: Journal of Biogeography (J. Biogeogr.) (2010) 37, 18241834 |
Colonization and population growth of Yellow-legged Gull Larus cachinnans in southeastern Poland: causes and influence on native species.
Skórka, P., J. D. Wójcik, and R. Martyka.
Ibis 2005 - 147: 471-482. |
Ronald Klein & Grzegorz Neubauer:
Influxes of Caspian Gulls Larus Larus cachinnans and Yellow-legged Gulls L. michahellis into northern Central Europe - origin, causes, course and trend.
IN: Die Vogelwelt 2/2006 |
Klein, Ronald
HERRING GULLS LARUS ARGENTATUS AND YELLOW-LEGGED GULLS LARUS CACHINNANS ON GARBAGE DUMPS IN MECKLENBURG (NE GERMANY) - ANALYSIS OF RINGING RECOVERIES. Vogelwelt; 115(6):267-286. 1994. In German with English summ.
|
Deconstructing myths on large gulls and their impact on threatened sympatric waterbirds
BY: D. Oro, A. Martínez-Abraín
IN: Animal Conservation,. Volume 10, Issue 1, pages 117126, February 2007 |
Changes in plasma biochemistry and body mass during incubation in the Yellow-legged Gull
Carlos Alonso-Alvarez, Alberto Velando, Miguel Ferrer and José A. R. Veira
IN: Waterbirds 25(2): 253-258, 2002. |
DESPLAZAMIENTOS DE LA GAVIOTA PATIAMARILLA LARUS CACHINNANS EN POBLACIONES DEL NORTE DE LA PENINSULA IBERICA
Ignac io MUNILL IN: Ardeola 44 - 1997: p19-26 |
Competition between the yellow-legged gull Larus cachinnans and Audouin's gull Larus audouinii associated with commercial fishing vessels: the influence of season and fishing fleet
ARCOS J. M.; ORO D.; SOL D.
IN: Marine Biology 2001, vol. 139, no5, pp. 807-816 |
Spatial variability of seabird distribution associated with
environmental factors.
Patrıcia Amorim et all.
|
Maternal effects mediated by egg quality in the
Yellow-legged Gull Larus michahellis in relation to
laying order and embryo sex
Diego Rubolini et all.
IN: Frontiers in Zoology 2011, 8:24. |
Birds as a Tool for Island Habitat Conservation and Management.
Pedro Rodrigues and Regina Tristao da Cunha.
IN: American Journal of Environmental Sciences 8 (1): 5-10, 2012 |
Sexual size dimorphism and determination of sex in Atlantic Yellow-legged Gulls Larus michahellis lusitanius from northern Spain.
Galarza, Hidalgo, Ocio & Rodriquez.
Ardeola 55: 41-47, 2008. |
Habitat utilisation, feeding tactics and age related feeding
efficiency in the Caspian Gull Larus cachinnans
Piotr Skorka & Joanna D. Wojcik
IN: J Ornithol (2008) 149:31–39
|
Do invasive species undergo
metapopulation dynamics? A case study
of the invasive Caspian gull, Larus
cachinnans, in Poland.
Magdalena Lenda et all.
IN: Journal of Biogeography (2010) 37. |
POPULATION STATUS AND DIET OF THE YELLOW-LEGGED GULL IN THE AZORES.
VERÓNICA C. NEVES, NADIA MURDOCH & ROBERT W. FURNESS |
Diet composition of the Caspian Gull (Larus cachinnans)
in inland Poland.
Robert Gwiazda et all.
IN: Ornis Fennica 88:8089. 2011. |
Influence of Host Age and Sex on the Helminth Fauna of the Yellow-Legged Gull (Larus michahellis) in Galicia (North western Spain).
M. F. Álvarez et all.
IN: J Parasitology
Vol. 92- 3 2006.
|
ASSORTATIVE MATING WITHOUT COMPLETE REPRODUCTIVE ISOLATION
IN A ZONE OF RECENT SECONDARY CONTACT BETWEEN HERRING GULLS AND CASPIAN GULLS.
GRZEGORZ NEUBAUER et all.
IN: The Auk 126(2): 409-419, 2009.
|
Diet of Yellow-legged Gull (L michahellis) chicks along
the Spanish Western Mediterranean coast: the relevance
of refuse dumps.
Raul Ramos.
IN: J Ornithol (2009) 150:265–272. |
Monitoring ptaków wodno-błotnych w okresie wędrówek (L cachinnans in Poland).
Monitoring of wetland birds during migration.
|
Directory of Azov-Black Sea
Coastal Wetlands (incl Larus cachinnans).
Editor: Gennadiy Marushevsky
Kyiv: Wetlands International, 2003. |
Effects of a small seagull colony on trophic status and primary production in
a Mediterranean coastal system.
Geraldina Signa et all.
IN: Estuarine, Coastal and Shelf Science 111 (2012). |
A widespread gull population in a complex wetland:
habitat specific methods to census breeding pairs.
Cecilia Soldatini et all.
IN: Avocetta 33: 205-210 (2009).
|
First proven case of a backcross hybrid between the Herring Gull (Larus argentatus) and the Caspian
Gull (L cachinnans) in the Czech Republic
Václav Beran
Sylvia 46 / 2010 |
Seasonal and long-term changes in numbers of the Herring, Caspian & Yellow-legged Gull in the Upper Vistula River Valley
Damian Wiehle, Grzegorz Neubauer
Ornis Polonica 2010, 3: 195–203
|
Extensive post-breeding movements
of Adriatic Yellow-legged Gulls Larus
michahellis
J. Kralj, S. Barišić, D. Ćiković, V. Tutiš &
N. Deans van Swelm
Journal of Ornithology April 2013.
|
Occurrence of Caspian Gulls Larus cachinnans along the
Dutch coastline
Klaas van Dijk
Sula (in press) 2013 |
Geelpootmeeuwcomplex van IJmuiden: in hoeverre zijn geelpootmeeuwen echte Geelpootmeeuwen?
Fred Cottaar.
Dutch Birding 26: 36-42 (2004). |
|
|
|
|
|
|
|
Larus ridibundus |
Differential daytime distribution by age in Black-headed Gull: adult physical dominance or competitive superiority?
H Kallander & L Rosenkvist.
Ibis 142 (2000).
|
Over plaatstrouw van Kokmeeuwen in
Nederland tijdens de slagpenrui.
Klaas van Dijk
IN: LIMOSA 84 (2011): 21-25 |
Invloed van vangmethode op de waargeneomen sexratio bij broedende Kokmeeuwen op Griend. Klaas van Dijk & Rene Oosterhuis. Limosa 81: 94-97 (2008)
English summary. |
Herkomst, aantallen en broedsucces van Kokmeeuwen op Griend.
Klaas van Dijk & Rene Oosterhuis.
Limosa 83: 21-35 (2010)
English summary. |
Differences in Primary Molt and Biometrics between Adult and Second-year Black-headed Gulls in Puck Bay (Southern Baltic)
WLODZIMIERZ MEISSNER
IN: Waterbirds 30(1): 144-149, 2007 |
Sex- and age-related biometric variation in Black-headed Gulls in Western European populations.
Palomares, Arroyo, Marchamalo, Sainz & Voslamber.
Bird Study 1997, 44: 310-317. |
Numerical and behavioural response of Black-headed
Gull Chroicocephalus ridibundus on population growth
of the expansive Caspian Gull Larus cachinnans.
Piotr Skorka et all.
IN: J Ornithol (2012) 153:947–961 |
Molecular evidence for extra-pair paternity and intraspecific
brood parasitism in the Black-headed Gull.
Radka Lezalova-Pialkova.
IN: J Ornithol (2011) 152:291–295. |
Comparative analysis reveals a possible immunity-related absence
of blood parasites in Common Gulls
and Black-headed Gulls.
Indrikis Krams et all.
IN: J Ornithol (2012) 153. |
Consequences of sex-specific growth on sibling competition
in black-headed gulls.
Wendt Muller, Ton Groothuis &
Cor Dijkstra.
IN: J Ornithol (2007) 148. |
Zur Rosafarbung von Lachmowen (Larus ridibundus)
Peter Gloe
Ornit Mitt 1982. |
High numbers of roof-nesting Black-headed Gulls
Larus ridibundus in the Eemshaven in 2011.
Van Dijk K.
Sula 25(2): 71-77, 2012. |
Black-headed Gull of 33 years and re-appeal to stop using aluminium rings to mark gulls. Klaas van Dijk et al.
Dutch Birding 36: 249-252, 2014
|
New longevity records of Black-headed Gull, with comments on wear and loss of aluminium rings
Klaas van Dijk et al.
Dutch Birding 34: 20-31, 2012
|
Over plaatstrouw van Kokmeeuwen in
Nederland tijdens de slagpenrui.
Klaas van Dijk
LIMOSA 84 (2011): 21-25
|
Spaanse Kokmeeuwen
in Noord-Nederland
Klaas van Dijk
De Grauwe Gors jaargang 41 - 2013 |
Aflezen van metalen ringen bij Kokmeeuwen
in Groningen en het Gooi
Klaas van Dijk & Frank Majoor
Het Vogeljaar 43 (1995) |
|
|
|
|
|
|
|
Larus canus (see also: HERE) |
Ostliga fiskmasars (Larus canus heinei) upptradande i Oresundsregionen.
[english summary]
K Bengtsson & K T Pedersen
Ornis Svecica 8: 145-156 (1998) |
Is it possible to age subaduh
Common Gulls Larus canus?
Bengtsson & Blomquist.
IN: Anser 02-2003.
|
European Union Management Plan 2009-2011 - Larus canus
Technical report 2009 - 035
Natura 2000 |
Black-headed Gull Larus ridibundus, Mediterranean Gull Larus melanocephalus and Common Gull Larus canus as breeding birds in Flanders, Belgium
GLENN VERMEERSCH, RENAUD FLAMANT & ANNY ANSELIN Oriolus 68 - 3. |
Movements and survival areas of Finnish common gulls Larus canus
M Kilpi & P Saurola
Ann Zool Fennici 22 - 1985: 157-168 |
The primary moult in four gull species near Amsterdam (incl Larus canus)
J. Walters
Ardea 66 - 1978 |
Ruim 33 jaar oude Stormmeeuw in Groningen.
Klaas van Dijk & Derick Hiemstra.
Dutch Birding 26: 301-304 (2004) |
Habitat and nest-site selection in the Common Gull Larus canus in southern Poland.
Skórka, P., J. D. Wójcik, R. Martyka, T. Babiarz, and J. Skórka.
Acta Ornithologica 2006 - 41: 137144.
|
Reproductive success in presenescent common gulls
(Larus canus): the importance of the last year of life
Kalev Rattiste
Proc. R. Soc. Lond.B (2004)271 |
Comparative analysis reveals a possible immunity-related absence
of blood parasites in Common
and Black-headed Gulls
I. Krams et all
J Ornithol (2012) 153:1245–1252 |
Life History of the Common Gull
(Larus canus) -
A Long-Term Individual-Based Study
KALEV RATTISTE
Uppsala University 2006 |
|
Identification of the Larus canus complex
Peter Adriaens & Chris Gibbins
Dutch Birding 38: 1-64, 2016 |
Field identification of Russian Common Gull and its occurrence in Scotland
Chris Gibbins & Peter Adriaens
Scottish Birds 36-1, 2016 |
|
|
|
|
|
|
Other taxa |
Taimyr Gulls: evidence for Pacific winter range, with notes on morphology and breeding
Klaas van Dijk, Sergei Kharitonov, Holmer Vonk & Bart Ebbinge
IN: Dutch Birding 33, 2011 pag 9-21 |
Phenotypic variation and systematics of Mongolian Gull
by Pierre Yésou
IN: Dutch Birding 2001.
part 1, part 2, part 3, part 4, part 5, part 6. |
Status of the form barabensis within the Larus argentatus cachinnans fuscus complex.
Panov & Monzikov
IN: British Birds Vol 93 (2000) |

Larus armenicus Fact sheet. |
STAFFELMAUSER AND OTHER ADAPTIVE STRATEGIES FOR WING MOLT IN LARGER BIRDS
PETER PYLE
IN: Western Birds 37:179–185, 2006 |
AN APPROACH TO THE STUDY OF MOLTS AND PLUMAGES
BY PHILIP S. HUMPHREY AND KENNETH C. PARKES
IN: THE AUK, A QUARTERLY JOURNAL OF ORNITHOLOGY. Vol.76 January 1959 No. 1 |
Hybridization of Glaucous Gull (Larus hyperboreus) and Herring Gull (Larus argentatus) in Iceland: mitochondrial and microsatellite data.
Vigfusdottir, Palsson & Ingolfsson.
Phil Trans R Soc B (2008) |
Identification and Variation of Winter Adult Kumlien’s Gulls
Steve N.G. Howell & Bruce Mactavish
IN: Alula 1/2003. |
The in-between age of the in-between Gull: Identification of second-winter Thayer's Gull.
Chris Gibbins & Martin Garner. |
Hybrid gulls in Belgium
– an update.
Peter Adriaens, Harry J. P. Vercruijsse and
EricW. M. Stienen.
IN: British Birds 105 • September 2012 • 530–542. |
Status of the form
barabensis within the
'Larus argentatus–
cachinnans–fuscus
complex'
Evgeniy N. Panov and Dmitriy G. Monzikov.
IN: British Birds 93: 227-241, May 2000.
|

Interbreeding of Thayer's gull Larus thayeri and Kumlien's gull Larus glaucoides kumlieni on Southampton Island, Northwest Territories.
Gaston, A. J. & Decker, R. (1985).
Can. Field-Nat. 99: 257-259. |

30+ PDF articles on Mediterranean Gulls. |
Grote Mantelmeeuw Larus marinus als nieuwe broedvogel in België. (Larus marinus, new breeding species for Belgium)
HARRY J.P. VERCRUIJSSE et all.
Natuur.oriolus 72(1): 1-3 (2000). |
Mediterranean Gulls L melanocephalus wintering
along the Mediterranean Iberian coast: numbers and activity
rhythms in the species' main winter quarters.
Albert Cama et all.
IN:
J Ornithol (2011) 152:897–907.
|
Hybridization and changes in the distribution of Iceland gulls (Larus glaucoides /kumlieni/ thayeri)
Weir,. Kitchener & McGowan IN: J. Zool., Lond. (2000) 252.
|
Subspecies of the Iceland Gull.
Ron Pittaway
IN: ONTARIO BIRDS APRIL 1992. |
THE DISTRIBUTION OF CERTAIN LARGE GULLS IN SOUTHERN CALIFORNIA AND BAJA
CALIFORNIA.
P. Devillets, G. McCaskie & J. Jehl.
|
VARIATION IN IRIS COLOR
OF ADULT THAYER'S GULLS.
J. KING & S. HOWELL.
IN: Western Birds 30:55-56, 1999. |
"THAYER'S" GULL IN THE NIAGARA FRONTIER REGION.
ROBERT F. ANDRLE
IN: The Auk, January 1969. |
Evolution of some arctic gulls (Larus): an experimental study of isolating
mechanisms - N. G. Smith. Ornithological Monographs 4-1966.
REVIEW by G.M. Sutton.
|
A specimen of Larus glaucescens from Hudson Bay.
J. Jehl
IN: THE WILSON BULLETIN Vol. 86-1974. |
Recent changes in the status of wintering gull
populations in Utah.
M. H. Tore & D. L. Fischer
IN: American Birds 1988. |
Status of Thayer's Gull.
J. Dwight
IN: The Auk 34, 1917. |
ON MATURATION OF THAYER'S GULL.
G. SUTTON & D. PARMELEE
IN: Wilson Bull., 90(4), 1978. |
Field identification of
Thayer's Gull (L thayeri)
in eastern North America.
M. Gosselin & N. David
IN: American Birds 29 (1975). |
IDENTIFICATION AND MOLT OF HYBRID
GLAUCOUS-WINGED GULLS
J. KING & S. HOWELL
IN: Western Birds 1998. |
FIRST PREBASIC MOLT IN HERRING, THAYER'S, AND
GLAUCOUS-WINGED GULLS
S. HOWELL & J. KING
IN: J. Field Ornithol. 1999. |
Egg Production in a Coastal Seabird, the Glaucous-
Winged Gull (Larus glaucescens), Declines during the
Last Century.
Louise K. Blight.
PlosOne 2011 |
Identification of Kelp Gull
Frederic Jiguet, Alvaro Jaramillo & Ian Sinclair
IN: Birding World 14(3), 2001. |
Identification of first cycle Larus dominicanus vetula: The Cape Gull of good hope?
Chris Gibbins |
Using Seabird Habitat Modeling to Inform Marine Spatial
Planning in Central California's National Marine
Sanctuaries
Jennifer McGowan et all.
PlosOne 2013. |
Vagrancy and
Identification
of First-cycle
Slaty-backed Gulls
Tristan McKee, Peter Pyle &
Nial Moores
IN: Birding Nov/Dec 2014 |
Hybridization and changes in the distribution of Iceland gulls (Larus glaucoides/ kumlieni/ thayeri)
D. N. Weir, A.C. Kitchener & R. Y. McGowan
IN: J. Zool., Lond. (2000) 252, 517-530. |
Extensive mitochondrial introgression in North American
Great Black-backed Gulls from the
American Herring Gull with little
nuclear DNA impact
J-M Pons et al.
Heredity (2014) 112, 226–239
|
ICELAND AND KUMLIEN’S GULLS PHOTO GUIDE
Peter Adriaens
Birdwatch April 2012
(238: 41-47) |
Historical and taxonomic
review of the Iceland Gull
L. glaucoides complex
R. McGowan & A. Kitchener
IN:
British Birds 94: 191-195, April 2001.
|
Research on gulls with help of satellite transmitters.
Bruno J. Ens et all
IN: SOVON, LIMOSA 82 (2009): 33-42
Dutch, with english captions and summary.
|
Age-specific survivorship in relation to clutch size and fledging succes in Carlifonia Gulls.
Bruce H. Pugesek
In Behav Ecol SocioBiol 1987 |
Seabirds and chronic oil pollution: Self-cleaning properties of gulls, Laridae,
as revealed from colour-ring sightings.
Kees (C.J.) Camphuysen
IN: Marine Pollution Bulletin |
Ueber die Formen der grossen Möwen (subgenus Larus) und ihre gegenseitigen Beziehungen.
B. Stegmann.
IN: Journ. f. Ornith. 82: 340-380, 1934.
|
An atlas of movements of Southwest Siberian waterbirds. (incl gulls).
Veen, Yurlov, Delany, Mihantiev, Selivanova & Boere.
PUBLICATION: Wetlands International – 2005
|

Pionierinsel - N Germany: breeding Mediterranean Gulls.
Mediterranean Gull Team Hamburg, 27th July 2011 |
"Systematische" beschouwingen naar aanleiding van de waarneming van een Heuglins Geelpootzilvermeeuw, Larus cachinnans heuglini Bree, in Nederland.
J. Kist
Ardea, Juni 1961. (and continued) |
The “Chandeleur” Gull, origins and identification of Kelp x Herring Gull hybrids
Donna L. Dittmann & Steven W. Cardiff
In Birding 2005 |
Removal of primary remiges and its effect on the flying ability of Glaucous-winged Gulls.
Nicolaas A.M. Verbeek & Joan L. Morgan
In Condor 1980 |
A note on large white-headed gulls in Iran.
Derek A Scott.
Podoces 2007, 2: 143-145. |
Super-normal Clutches and Female-female Pairs in Gulls and Terns Breeding in Poland
JACEK BETLEJA, PIOTR SKÓRKA AND MONIKA ZIELINSKA
IN: Waterbirds 30(4): 624-629, 2007 |
Physiological effects of climate on
distributions of endothermic species.
Stephen A. Oswald et all.
IN: Journal of Biogeography (2011) 38, 430–438. |
Migration within the annual cycle: species, sex and age differences.
Ian Newton.
IN: J Ornithol (2011) 152 (Suppl 1):S169–S185 |
Responses to mate loss by Herring Gulls Larus argentatus and
Great Black-backed Gulls Larus marinus.
Greggory J. Transue and Joanna Burger
ORNISS CANDINAVICA 20: 53-58 / Copenhagen 1989 |
A STUDY OF THE EFFECTS OF DETERRING GULLS FROM GLOUCESTER LANDFILL SITE FOR A TWO WEEK PERIOD IN MARCH 2004. FOR GLOUCESTERSHIRE GULL ACTION GROUP by PETER ROCK.
|
Egg survival is related to the colour matching of eggs to nest
background in Black-tailed Gulls.
Who-Seung Lee • Young-Soo Kwon •
Jeong-Chil Yoo.
IN: J Ornithol (2010) 151. |
Bird migration on Helgoland: the yield from 100 years of research
Ommo Huppop • Kathrin Huppop.
IN: J Ornithol (2011) 152 (Suppl 1):S25–S40. |
Birds of a feather flock together.
Peter Rock
In Envir Health Journ 2003
Original link |
Carotenoid coloration in great black-backed gull Larus marinus
reflects individual quality.
Kai O. Kristiansen, Jan O. Bustnes, Ivar Folstad and Morten Helberg
JOURNAL OF AVIAN BIOLOGY 37: 6/12, 2006 |
WING-TAGGING TEMPORARILY AFFECTS TIME BUDGETS OF LARGE GULLS
Jochen Bellebaum and Andreas Buchheim
IN: THE RING 30, 1/2 (2008) |
Sexual differences in the external measurements of Black-tailed Gull breeding on Rishiri Island, Japan.
Michiyo Chochi, Yasuaki Niizuma & Masaoki Takagi
In Ornithol Sci 2002. |
Polarforschung - Reisen und Forschungsarbeiten deutscher Wissenschaftler in den Polargebieten" .
V Sternkopf et all.
IN: MEER UND MUSEUM Band 20, 2008. |
Spatial patterns in the use of foraging areas and its relationship
with prey resources in the threatened Olrog's Gull
(Larus atlanticus).
Nicolas Suarez • Marıa Valeria Retana •
Pablo Yorio.
IN: J Ornithol (2012) 153:861–871.
|
Expansion of the Mediterranean Gull Larus melanocephalus
in Poland
Monika Zielinska et all.
IN: J Ornithol (2007) 148:543–548 |
Alaska
Region
T. G. TOBISH, JR.
Field Notes 50-3 1996. |
BIRDS FROM THE PRIBILOF ISLANDS AND VICINITY
K. KENYON & R. PHILLIPS
IN: The Auk 82-1965. |
SEXUAL DIMORPHISM OF LARGE GULLS (LARUS SPP.)
AGNAR INGOLFSSON
IN: The Auk 86 (1969). |
Carotenoid coloration in Great Black-backed Gull L marinus reflects individual quality.
Kai O. Kristiansen, Jan O. Bustnes, Ivar Folstad & Morten Helberg
In Journal of Avian Biology 2006 |
Marine birds of the Hell Gate Polynya,
Nunavut, Canada
Mark L. Mallory & H. Grant Gilchrist
IN: Polar Research 24(1–2), 87–93 2005 |
Seabirds and chronic oil pollution: Self-cleaning properties of gulls, Laridae,
as revealed from colour-ring sightings.
Kees (C.J.) Camphuysen
Marine Pollution Bulletin 62 (2011) 514–519 |
Apparent survival of adult Thayer's and Glaucous Gulls nesting
sympatrically in the Canadian high Arctic
Karel A. Allard et all.
ARDEA 98(1), 2010 |
Descriptive update
on gull taxonomy:
'West Siberian Gull'
Valery A. Buzun
British Birds 95 • May 2002 • 216-232 |
Morphological measurements on large gulls
Greg Neubauer. |
Table for Morphological measurements on large gulls
Greg Neubauer. |
Identification and ageing of
Glaucous-winged Gull and hybrids
Enno B Ebels, Peter Adriaens & Jon R King
Dutch Birding 23: 247-270, 2001 |
VOGELS OP HET STRAND BIJ NOORDWIJK
Hein Verkade
Sula 25(1) 2012
|
Natal dispersal in the western gull: proximal factors and fitness consequences
LARRY SPEAR, PETER PYLE & NADAV NUR
IN: Journal of Animal
Ecology 1998-67.
|
The Life and Travels of
Ring-billed Gulls
by Ken MacKenzie |
|
|
|
|
|
Phylogeny |
The Herring Gull Complex (Larus argentatus - fuscus - cachinnans) as a Model Group for Recent Holarctic Vertebrate Radiations
Dorit Liebers-Helbig et all. |
Introgressive hybridization and the evolutionary history of the herring gull complex revealed by mitochondrial and nuclear DNA.
Sternkopf et all.
IN: BMC Evolutionary Biology 2010, 10:348. |
The Beringian Connection: Speciation in the Herring Gull assemblage in North America.
Peter de Knijff
Birding, July/August 2005. |
Phylogeographische Differnzierung und Verwantschaftsbeziehungen von Grossmowen der Larus argentatus - fuscus - cachinnans Gruppe: Untersuchungen anderhand von DNA-Sequenzen der mitochondrialen Controll region.
Dissertation von Dorit Liebers.
17 Juni 2000. |
Genetic differentiation and phylogeography of gulls in the Larus cachinnans fuscus group (Aves: Charadriiformes)
D. LIEBERS, A. J. HELBIG and P. DE KNIJF
IN: Molecular Ecology (2001) 10, 2447-2462 |
The Herring Gull complex is not a ring species.
D Liebers, P de Knijff, A J Helbig.
Proc R Soc Lond B (2004): 271: 893-901. |
Phylogeography and colonization history of Lesser Black-backed Gulls (Larus fuscus) as revealed by mtDNA sequences.
D. Liebers, A. J. Helbig, 2002 IN: Journal of Evolutionary Biology, Volume 15, November 2002
|
Genetic affinities within the Herring Gull (Larus argentatus) assemblage revealed by AFLP Genotyping.
P de Knijff, F Denkers, N van Swelm & M Kuiper.
J Mol Evol (2001) 52: 85-93. |
Genetic differentiation at nuclear and mitochondrial loci among large white-headed gulls: sex-biased interspecific gene flow?
P-A.Crochet et all.
In Evolution 2003 |
Systematics of large white-headed gulls: patterns of mitochondrial DNA variation in western European taxa.
P-A.Crochet, J-D. Lebreton, & F. Bonhomme
In The Auk 2002 |
Molecular phylogeny and plumage evolution in gulls (Larini).
P-A. Crochet, F. Bonhomme & J-D. Lebreton
In J Evol Biol 2000 |
Slow rate of Evoloution in the Mitochondrial Control Regions of Gulls (Aves: Laridae).
Pierre-Andre Crochet & Eric Desmarais
In Mol Biol Evol 2000 |
Molecular and morphological patterns of introgression between two large white-headed gull species in a zone of recent secondary contact
L. GAY et all.
IN: Molecular Ecology (2007) 16. |
GENETIC DIFFERENTIATION, GEOGRAPHIC VARIATION AND HYBRIDIZATION IN GULLS OF THE LARUS GLAUCESCENS-OCCIDENTALIS COMPLEX’
DOUGLAS A. BELLY
IN: The Condor 98:527-546 (1996) |

ADDITIONAL DATA ON MITOCHONDRIAL DNA OF NORTH AMERICAN LARGE GULL TAXA.
Gay, Laurène, Bell, Douglas A, Crochet, Pierre-André, 2005.
The Auk, 122: 684-688. |
Hybridization among Arctic white-headed gulls
obscures the genetic legacy of the Pleistocene
Sarah A. Sonsthagen et all.
IN: Ecology and Evolution 2012; 2(6). |
Speciation with gene flow in the large white-headed
gulls: does selection counterbalance introgression?
L Gay et all.
IN: Heredity (2009) 102, 133–146 |
Hybridization among Arctic white-headed gulls
obscures the genetic legacy of the Pleistocene
S. A. Sonsthagen et all
Ecology & Evolution 2012; 2(6) |
INTERSPECIFIC ALLOZYME DIFFERENTIATION AMONG
NORTH ATLANTIC WHITE-HEADED LARID GULLS
RICHARD R. SNELL
The Auk 108: 319-328. April 1991 |
Phylogenetic relationships within the Laridae
(Charadriiformes: Aves) inferred from mitochondrial markers
J.-M. Pons, A. Hassanin, P.-A. Crochet.
Molecular Phylogenetics and Evolution 37 (2005) 686–699 |
|
|
|
|